Linearno preusmjeravanje Forsaken Motorsport BMW S1000RR K46 (15-18)
Linearno preusmjeravanje Forsaken Motorsport BMW S1000RR K46 (15-18)
Rok isporuke na upit
Linearno preusmjeravanje – Za BMW S1000RR K46 (2015–2018) od Forsaken Motorsport
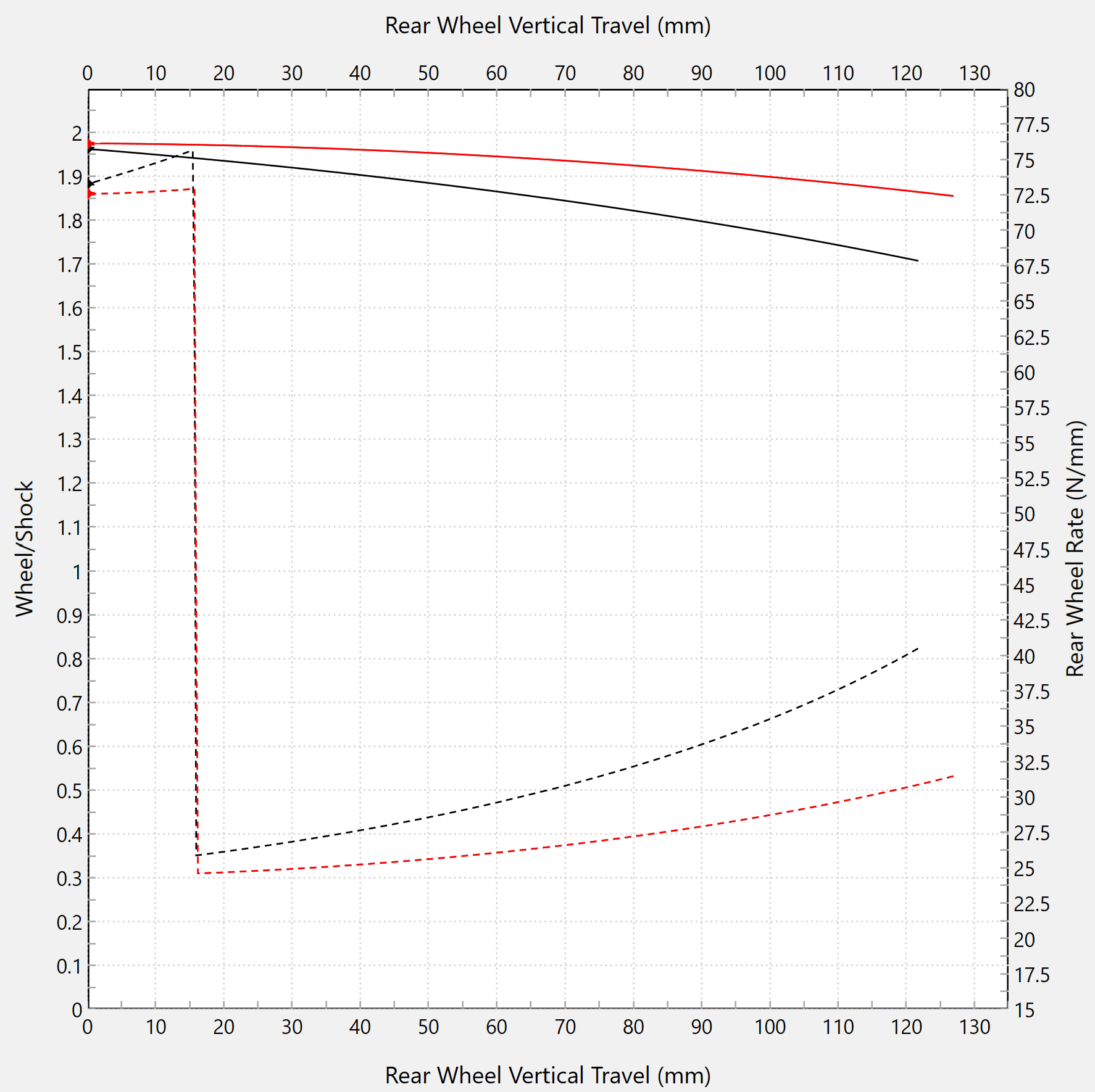
Linearno preusmjeravanje od Forsaken Motorsport posebno je razvijeno za BMW S1000RR K46 (2015–2018). Njegova sposobnost optimizacije progresivne stope ovjesa pruža poboljšanu trakciju i prijenos snage. Idealno za zahtjevne vozače koji žele prilagoditi svoj ovjes.
Važna napomena:
Raspoloživo samo u crno anodiziranom izdanju.
Karakteristike i prednosti:
-
Optimizirana stopa ovjesa:
- Transformira progresivnu stopu ovjesa u lineariniju, što značajno poboljšava trakciju i prijenos snage.
-
Precizna izrada:
- CNC obrađeno iz aluminijske ploče s Haas VM3, interno u Forsaken Motorsportu u Kanadi.
-
Visoka stabilnost:
- 35 % krutije od originalnog preusmjeravanja, minimizira deformacije pod opterećenjem.
-
Prilagodljivo:
- Serijski opruga se može i dalje koristiti, ali se može zamijeniti prema preferencijama vozača.
- Kontrola ventila prilagodljiva za optimalnu upotrebu ravnije progresivne stope.
-
Jednostavna ugradnja:
- Dostava s novim BMW ležajevima; originalni vijci, čahure i brtvila mogu se ponovo koristiti.
Tehnički podaci:
-
Komponente u kompletu:
- Dva preusmjerivača.
- Jedan preusmjerivački arm.
-
Napomena:
- Prikladno samo za vožnju s jednim vozačem, ne može se koristiti za vožnju s suvozačem.
Dostupnost preuzimanja nije mogla biti učitana
O nama
O nama
Naša strast prema kvaliteti i inovacijama pokreće nas da vam ponudimo najbolje proizvode i usluge za ljubitelje motocikala. Od ekskluzivnih visokoperformantnih dijelova do prilagođenih rješenja – vaše vozačko iskustvo je u središtu našeg poslovanja.
Isporuka i povrati
Isporuka i povrati
Isporučujemo s DHL-om i FedEx-om – po želji i ekspresnom dostavom. Ako je artikl na skladištu, isporuka ekspresnom dostavom može se u mnogim slučajevima izvršiti unutar 1 radnog dana. Redovno vrijeme isporuke unutar zemlje iznosi oko 2-5 radnih dana, a međunarodno obično oko 1 tjedan. Molimo provjerite dostupne opcije dostave i rokove u košarici, jer nudimo više dostavnih usluga ovisno o zemlji.
Povrati moraju biti prethodno prijavljeni putem e-maila i moguća su prema našoj politici povrata (14 dana za zahtjev za povrat + 14 dana rok za vraćanje nakon odobrenja). Molimo imajte na umu: Neprijavljeni povrati neće biti prihvaćeni. Sve detalje o uvjetima, iznimkama i povratima možete pronaći u našoj politici povrata.
Vaši podaci o plaćanju obrađuju se sigurno. Ne pohranjujemo podatke o kreditnim karticama i nemamo pristup vašim informacijama o kreditnim karticama.
Više informacija u našim FAQ-ima
Pošalji e-mail našem timu – javit ćemo ti se što je prije moguće.
Koliko dugo traje obrada moje narudžbe?
Koliko dugo traje obrada moje narudžbe?
Ako je artikl na skladištu, obradit ćemo tvoju narudžbu obično vrlo brzo, često će biti poslana još istog dana.
Naši radni sati su od ponedjeljka do petka, 07:30–16:30.
Šaljete li međunarodno?
Šaljete li međunarodno?
Da, šaljemo širom svijeta. Dostava se vrši ovisno o zemlji i izboru s DHL-om ili FedEx-om.
Koja je vaša politika povrata?
Koja je vaša politika povrata?
Povrati se moraju unaprijed prijaviti putem e-maila. Možeš zatražiti povrat unutar 14 dana od primitka i nakon odobrenja imaš dodatnih 14 dana za vraćanje.
Važno: Nepopravljeni povrati neće biti prihvaćeni. Sve detalje možeš pronaći u našim uvjetima povrata.
Što znači 'Vrijeme isporuke na upit'?
Što znači 'Vrijeme isporuke na upit'?
'Vrijeme isporuke na upit' znači da artikl obično nije odmah dostupan i može se dodatno naručiti. Molimo kontaktirajte nas prije kupnje – provjerit ćemo dostupnost i reći vam predviđeno vrijeme isporuke.
Nudite li ekspresnu dostavu?
Nudite li ekspresnu dostavu?
Da, nudimo ekspresnu dostavu. Ako je artikl na skladištu, dostava može u mnogim slučajevima biti izvršena unutar 1 radnog dana (ovisno o zemlji i opciji dostave). Dostupne opcije dostave možeš vidjeti u svojoj košarici.

